Note
Click here to download the full example code
Simple graph¶
Draw simple graph with manual layout.
import networkx as nx
import matplotlib.pyplot as plt
G = nx.Graph()
G.add_edge(1, 2)
G.add_edge(1, 3)
G.add_edge(1, 5)
G.add_edge(2, 3)
G.add_edge(3, 4)
G.add_edge(4, 5)
# explicitly set positions
pos = {1: (0, 0), 2: (-1, 0.3), 3: (2, 0.17), 4: (4, 0.255), 5: (5, 0.03)}
options = {
"font_size": 36,
"node_size": 3000,
"node_color": "white",
"edgecolors": "black",
"linewidths": 5,
"width": 5,
}
nx.draw_networkx(G, pos, **options)
# Set margins for the axes so that nodes aren't clipped
ax = plt.gca()
ax.margins(0.20)
plt.axis("off")
plt.show()

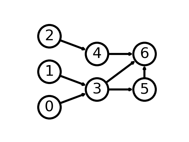
A directed graph
G = nx.DiGraph([(0, 3), (1, 3), (2, 4), (3, 5), (3, 6), (4, 6), (5, 6)])
# group nodes by column
left_nodes = [0, 1, 2]
middle_nodes = [3, 4]
right_nodes = [5, 6]
# set the position according to column (x-coord)
pos = {n: (0, i) for i, n in enumerate(left_nodes)}
pos.update({n: (1, i + 0.5) for i, n in enumerate(middle_nodes)})
pos.update({n: (2, i + 0.5) for i, n in enumerate(right_nodes)})
nx.draw_networkx(G, pos, **options)
# Set margins for the axes so that nodes aren't clipped
ax = plt.gca()
ax.margins(0.20)
plt.axis("off")
plt.show()

Total running time of the script: ( 0 minutes 0.497 seconds)